降水中の酸性度(pH)や電気伝導度(EC)の解析(図を表示しない場合はこちらをクリック)

      本年度は、一部の参加校を除いて参加校のデータの蓄積が少ないので、主に比較的長期のデータを蓄積している参加校のデータを用いた整理と解析、まとめを行った。

      具体的には、主にデータを使用する参加校としては:

      (北海道地方)北海道発寒中学校、

      (東北地方 )宮城県登米中学校、福島県磐崎中学校、同県中央台南中学校、

      (関東地方 )神奈川県光丘中学校、山梨県谷村工業高校、

      (北陸地方 )石川県小松工業高校、

      (瀬戸内地方)広島県広島大附属福山中・高校、愛媛県新居浜工業高校、

      (九州地方 )鹿児島県宮浦中学校、同県岳南中学校

      以上の11校とした。

       

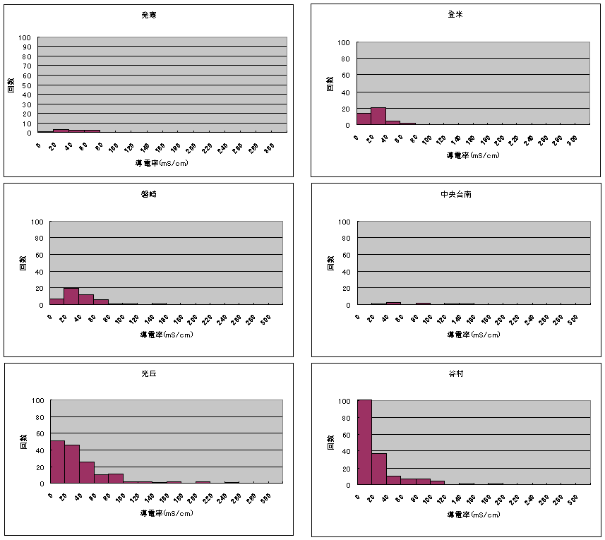
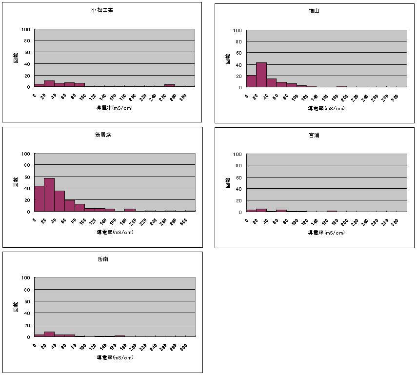
      1. 一降水毎のpH及びECの頻度分布
      2. 全国から選別された11校全体及び各校(地域)での一降水毎の平均pHと平均ECの頻度分布が図1.図2.図3,図4に示されている。

        これらの図から、全国的には降水の平均pHの頻度は4〜5が最も高く、次に5〜6、3〜4、6〜7の順となっている。このことは日本列島の降水が全体的に酸性であることを改めて示唆している。また、観測された最も低いpH値は神奈川県の光丘中学校のpH2(降水量2.5mm)で、逆に最も高いpH値は同じく光丘中学校のpH8.5(27mm)であった。

        関東地域や瀬戸内海地域が比較的pH値が低い方に分布しており、東北地方や北海道地方は相対的にpH値は高い傾向が見られる。ただ、地域的な汚染源が少ないと思われる屋久島の宮浦中学校は、同じ屋久島の岳南中学と対照的にかなり低いpH値が観測されている。これは、宮浦中学の付近に特定の汚染源が位置している可能性がある。

        一方、電気伝導度(EC)は、0〜200mS/cmの範囲にあり、最も頻度が高いのが20〜40mS/cmで次に0〜20、40〜60、60〜80mS/cmの順である。また、地域的にはECが比較的広く分散して分布しているところ(広島大附属福山中高校、新居浜工業高校、谷村工業高校)と、集中的に分布しているところ(登米中学校、発寒中学校)がある。汚染の激しい地域ほど分散的といえる。

         

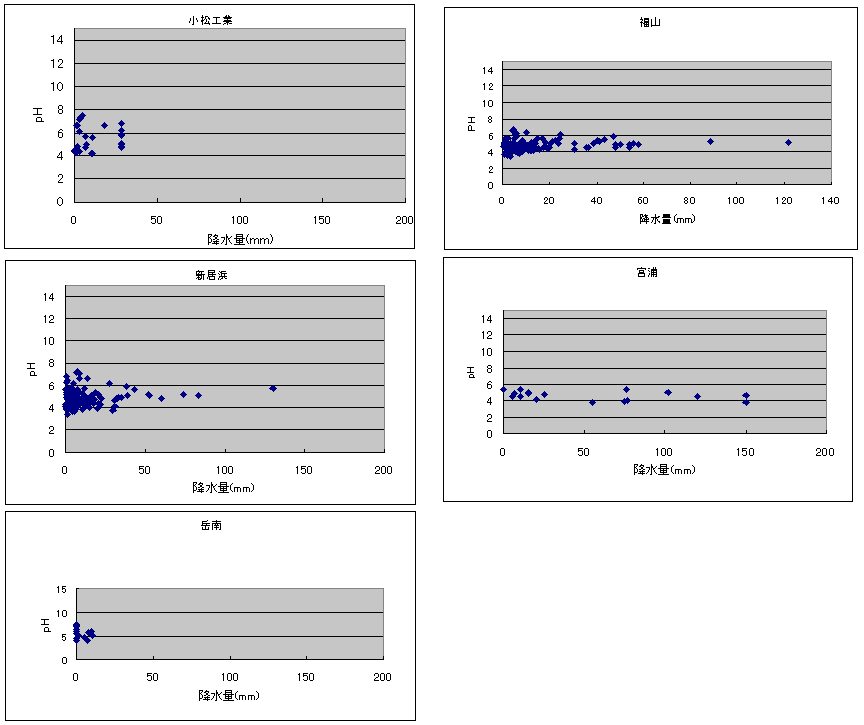
      3. 降水量とpH及びEC
      4. 降水量の増加にともなって、pH値が4前後またはそれ以下から徐々に上昇し、pH5〜6に収束して行く傾向がある(図5)。しかし、神奈川県の光丘中学校の場合は、小雨の場合はpHが低い場合(<4)と高い場合(6<)が見られ、これが降水量の増加によって両者の場合ともpH5〜6に収束して行く傾向が見られる。この原因として、地域的汚染物質には酸性物質とアルカリ性物質の両方が存在していることが考えられる。

        一方、ECと降水量の関係は一般的に降水量の増大にともなってECが減少して行く傾向が見られる(特に、光丘中学校、登米中学校)(図6)。これは、大気中の一定量の汚染物質が降水によって、徐々に洗浄され、大気中から除去されて行くからである。しかし、新居浜工業高校や広島大附属福山中高校のように、100mmに近いかこれを超える降水でも200mS/cm近いECを示すことがたびたびある。雨雲自体がかなりの汚染物質を付着している可能性があり、比較的広域的に大気が汚染されていることが考えられる。

         

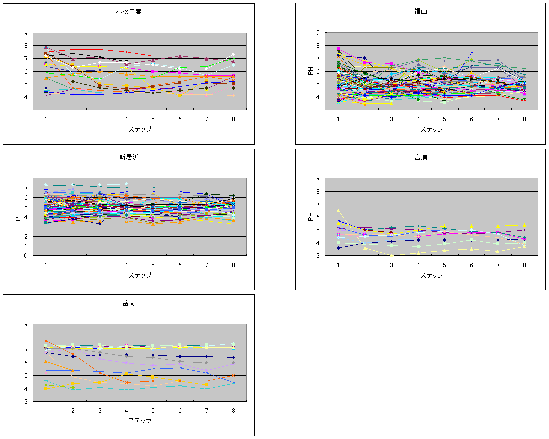
      5. 降水ステップとpH及びECの変化
      6. 降水ステップとECの関係は、初期にECが高く、ステップが進むにつれて減少する傾向が一般的に見られる(図7)。これに対して、pHは2通りの傾向が見られる。すなわち、初期pHが低く、ステップに従って上昇する場合と、逆に初期pHが高く、その後低下する場合である(図8)。また、ステップが進んでも、初期pHと余り変化しない場合もある。ECがステップの進行に従って減少するのは、大気中の汚染物質が降水によって吸着されていくからである。

         以上の現象は、一降水量とその平均pH及び平均ECとの関係と当然類似している。

         また、pHの変化はその地域、またその時期の汚染物質の酸性が強いか、弱いかでパターンが分かれていると思われる。どの場合も収束値はその時の降水自身のEC、pH値に近づいて行くと考えられる。

         

      7. 平均EC(X)と平均pH(Y)の関係
      8. ECとpHが正の相関が見られる地域(場合)と、負の相関が見られる地域がある(図9)。前者の例として、発寒中学校、磐崎中学校、登米中学校で、汚染物質の酸性度が比較的高くない地域で、後者は新居浜工業高校で、酸性度の強い汚染物質が卓越している地域である。両性物質が混在しているため両方の相関が不鮮明な光丘中学校などもある。以上は、地域の汚染物質の総量や性質を推察するのに適した資料と言える。

         

      9. pH値における季節変動や地域的差異    
      10. 石川県の小松工業高校の場合、冬期(12〜2月)の一降水の平均pHは4〜5であるのに、春〜秋期はpHは5〜6と比較的高い(図10)。これは冬期の越境汚染の影響と考えられる。

        一方、熱帯低気圧がもたらす降水のpHは概して高い傾向が見られる(広島大附属福山中高校)(図11)。これは、熱帯低気圧が形成される南太平洋地域に汚染源が少ないことと、強風による海水(pH8<)の巻き上げによる雨水のアルカリ化が起こっているからと考えられる。

        同じ屋久島でも北東部の宮浦中学と南部の岳南中学ではpHに差異が見られる。一般に、両校とも地域的な、ローカルな汚染源が少ないと思われるだけに興味深い現象である。この点、瀬戸内海地域や関東地域ではこのような差異は現象は明確ではなく、地域全体の汚染が進行しているものと思われる。

        屋久島の場合、ECを見ると岳南中学校では20数回の測定値は全て30mS/cm

        以下であるのに対して、宮浦中学校16回の測定値のうち、30mS/cm以下は7回で、9回は30mS/cm以上で、100mS/cmを超える場合も3回あり、そのうち2回は降水量が50mm以上である。宮浦中学校の場合、学校に比較的隣接した汚染源が想定できる。

        以上の現象は、降水のpHやECが、またその地域の汚染物質の動態が、人間活動のみならず、地域的、広域的な気象現象によっても大きく影響を受けていることを理解する上での大切な教材である。

         

      11. 降水のイオン分析

      25の測定校の10月〜11月時期のpH値を決めているイオン組成やイオン総量の中身を表1図12は示している。今回は降水量やpH値が全ての学校で明らかにされていないので、とりあえず、相対的なイオン組成比について比較検討してみた。

      まず、酸性物質イオンとして硫酸イオン、硝酸イオン、塩化イオンの相対的比率から、硫酸イオンタイプ、硝酸イオンタイプ、塩化イオンタイプに分けられる。このうち、塩化イオンタイプはナトリウムイオン濃度が高い場合は、海塩の影響が考えられる。

      硫酸イオンタイプとしては、仙台市の東北学院中学校、富山県大門高校、三重県四日市高校、広島大付属東雲中学校などである。硝酸イオンタイプは、前橋市立第四中学校、広島大付属福山中高校、新居浜工業高校などで、このタイプは硫酸イオンやアンモニウムイオン濃度も高い。大気汚染の進んでいる地域の特徴と言える。塩化イオンタイプとして、札幌市の発寒中学校、苫小牧東高校、高知清水高校、千木良小学校、長野工業高校、渋谷区立鉢山中学校などである。このうち、苫小牧東高校や高知清水高校の場合はナトリウム濃度も高いことから、この塩化イオンは海塩起源の可能性がある。また、千木良小学校はカリウムと塩化イオンの飛び抜けた高い比率はからKClの混入が考えられる。

      一方、アンモニウムイオンの比率が高いのは、前橋市立第四中学高校、仙台東北学院中高校、三重県四日市高校などである。このアンモニウムイオンは工場起源か窒素肥料を散布する農耕地の影響が考えられる。

       

 

 

図1 全校(11)の一降雨平均pHの頻度分布

 

図2 全校(11)の一降雨平均ECの頻度分布

 

 

図3 各校毎の一降雨平均pHの頻度分布(クリックすると拡大して表示されます)

 

 

図4 各校毎の一降雨平均ECの頻度分布(クリックすると拡大して表示されます)

 

図5降水量と平均pHの関係(クリックすると拡大して表示されます

図6 降水量と平均ECの関係(クリックすると拡大して表示されます)

図7 降水ステップとECの変化(クリックすると拡大して表示されます)

図 8 降水ステップとpHの変化(クリックすると拡大して表示されます)

 

図9 一降雨の平均ECとpHの関係(クリックすると拡大して表示されます)

図10 石川県小松高校の冬期(12月〜2月)と春から秋のpH値

 

図11 熱帯低気圧の影響と見られる降水のpH(クリックすると拡大して表示されます)

図12 2000年度10〜11月に測定された25校の降水量水中のイオン濃度(クリックすると拡大して表示されます)

 

表1 2000年10〜11月に測定された25校中のイオン濃度